Hello and Welcome! You’ve reached a blog about the history, physics and technology of photography, optics and computer vision, with the occasional sprinkle of Linux- and machine learning-related topics. Well, sometimes there are also other posts showing some nice photographs or the odd travel-documentary.
For questions regarding my videos please use the form on the Contact page of this website. For freelance-work related questions you can either use that form or my profile on Upwork (rates are lower via my website ;).
Latest Posts
-

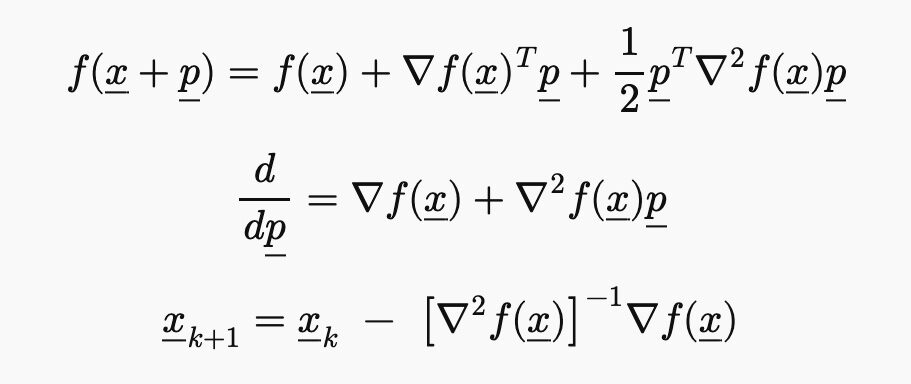
Computer Vision: Non-Linear Optimization Methods
This is a brief summary of some of the optimization methods used in Computer Vision topics like Camera Calibration and 3D-Reconstructions. We’re going to start with a relatively simple method and work our way to the more complicated but also a lot more powerful method that’s actually used in computer vision topics. Newton’s Method The…
-

Stereo Vision with two RPi Cameras
Semi-Global Matching is an algorithm that’s commonly used in Stereo Vision and also in Multi-View Stereo (e.g. when doing 3D-Reconstructions). To know more about it I first read Mr Hirschmüller’s paper that introduced SGM. Then I got two Raspberry Pi Camera Modules v3 and hooked them up to a Raspberry Pi 5, calibrated everything and…
-

Computer Vision: Image Resolution and Contrast
In this video we talk about image resolution and contrast. We’ll discuss the impact of diffraction, of our lenses and of our sensor. On the way we’ll cover diffraction and MTF charts.
Latest Projects
Some projects take quite a while to describe so there are multiple posts. Below you’ll only see the first post of a series. That should make it easier to find the start of a project.

